Obra
Revista do Club de Engenharia, nº 23, 1912
Cópia em JPEG
Revista do Club de Engenharia, nº 23, 1912
Capa e folha de rosto
1 2 3
Aviso
1
Club de Engenharia
1 2 3 4 5
Summario
1
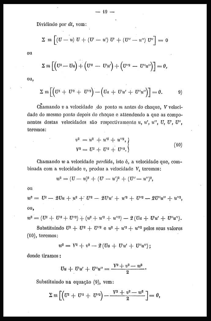
Theoria elementar do choque, pelo engenheiro João Guilherme Hess
Actas das sessões do Conselho Director (1906)
Relação dos socios do Club (1910-1911)
1 2 3 4
Revista do Club de Engenharia, nº 23, 1912 > Theoria elementar do choque, pelo engenheiro João Guilherme Hess > 18
Primeira PáginaPágina AnteriorDiminuir imagemImagem a 100%Aumentar imagemPróxima PáginaÚltima Página
18 [46 KB]

Tipo:image/jpeg  Tamanho:46 KB  Preto/branco: bpp  Resolução: dpi
© Biblioteca Nacional Digital - ContentE v.1.6 - 2008-11-11T09:54:05